1.6.6.2.2. Расчет по содержанию в воздухе водяных паров
![]() |
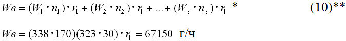
Примечание - *В условиях задачи сказано, что температуру воздуха в коровнике следует поддерживать на уровне 10°С. В Справочнике (см. табл. 3.1.1.14 Примечание) нормы выделения теплоты, водяных паров и диоксида углерода приведены для взрослых животных и молодняка старше 6 мес. при температуре окружающего воздуха 10°С. Следовательно нет необходимости делать поправку на температуру. Поэтому в данном примере коэффициент r1 не принят во внимание (см. Справочник: таблица 3.1.1.15).
**Нумерация формул в данном разделе соответствует принятой в разделе 1.6.5.2.
|
q1 – абсолютная влажность наружного воздуха в данной зоне в январе составляет 2,2 г/м3 (см. условия задачи и Справочник: таблица 3.1.6.4);
|
Таким образом, если рассчитывать вентиляцию по показателям содержания в воздухе водяных паров, то часовой объем вентиляции в самый холодный период года составит 18299,2 м3/ч
|
Целесообразно рассчитать объем вентиляции на переходный период года. Влагосодержание наружного воздуха в переходный период года составляет среднюю величину за ноябрь и март (3,7 + 2,9) : 2 = 3,3 г/м3. В этом случае часовой объем вентиляции на переходный период окажется равным:
|
1.6.6.2.2. Расчет по содержанию в воздухе водяных паров