1.6.5.4.1. Методика расчета поступления свободной теплоты от животных (Qж)

Количество свободного тепла зависит от поголовья животных, содержащихся в помещении, их живой массы, уровня продуктивности, а также физиологического состояния и определяется по следующей формуле:

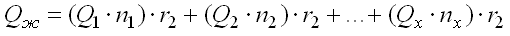
,      (20)

где Qж – количество свободной теплоты (Вт/ч), выделяемой всеми животными, находящимися в помещении;
Qх - количество свободной теплоты (Вт/ч),выделяемой одним животным соответствующей производственной группы [ см. Справочник: таблицы 3.1.1.14 (КРС), 3.1.2.12 (Свиньи), 3.1.3.13 (Лошади), 3.1.4.14 (Птица), 3.1.5.7 (Овцы) ];
nх – поголовье животных соответствующей производственной группы;
r2 - поправочный коэффициент, учитывающий изменения выделений свободной теплоты животными в зависимости от температуры окружающей среды [ см. Справочник: таблицы 3.1.1.15 (КРС), 3.1.2.13 (Свиньи), 3.1.3.14 (Лошади), 3.1.4.15 (Птица), 3.1.5.8 (Овцы) ].

Примечание – для более точного расчета, особенно при расчетах вентиляции помещений для мелких животных, например, птиц целесообразно пользоваться нормативами выделения свободной теплоты поголовьем соответствующей производственной группы в расчете на один килограмм живой массы за один час. В этом случае формула будет иметь следующий вид:

,      (21)

где gх – средняя живая масса птицепоголовья соответствующей производственной группы, кг.

1.6.5.4.1. Методика расчета поступления свободной теплоты от животных (Qж)