1.6.5.2. Методика расчета вентиляции по содержанию в воздухе водяных паров
Этот расчет осуществляют поэтапно, используя ряд формул:
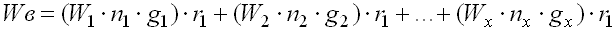
, (10)
где Wв – количество водяных паров (г/ч), выделяемых всеми животными, находящимися в помещении, за 1 час;
Wx – количество водяных паров (г/ч), выделяемых одним животным соответствующей производственной группы за 1 час [см. Справочник:
таблицы 3.1.1.14 (КРС),
3.1.2.12 (Свиньи),
3.1.3.13 (Лошади),
3.1.4.14 (Птица),
3.1.5.7 (Овцы)
];
nx – поголовье животных соответствующей производственной группы;
r1 – поправочный коэффициент, учитывающий изменения выделений животными водяных паров в зависимости от температуры окружающей среды [см. Справочник:
таблицы 3.1.1.15 (КРС),
3.1.2.13 (Свиньи),
3.1.3.14 (Лошади),
3.1.4.15 (Птица),
3.1.5.8 (Овцы)
].
Примечание – для более точного расчета, особенно при расчетах вентиляции помещений для мелких животных, например, птиц целесообразно пользоваться нормативами выделения водяных паров поголовьем соответствующей производственной группы в расчете на один килограмм живой массы за один час. В этом случае формула будет иметь следующий вид:
, (11)
где
gx – средняя масса одного животного соответствующей производственной группы.
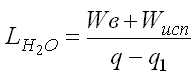
, (12)
где
- часовой объем вентилируемого воздуха, который надлежит вывести из помещения, м3/ч;
Wв – количество водяных паров (г/ч), выделяемых всеми животными, находящимися в помещении за 1 час, рассчитываемое по формулам 10 или 11;
q – абсолютная влажность воздуха помещения (г/м3) при требуемых показателях температуры и относительной влажности воздуха помещения (%), определяемая по следующей формуле:
, (13)
где
R – относительная влажность воздуха (в зависимости от вида животных см. одну из следующих таблиц Справочника:
[
таблица 3.1.1.16 (КРС),
3.1.2.14 (Свиньи),
3.1.3.12 (Лошади),
3.1.4.10 (Птица),
3.1.5.6 (Овцы) ];
– максимальная влажность водяных паров при требуемом показателе температуры воздуха, г/м3 (см. Справочник: таблица 3.1.6.3);
q1 – средняя абсолютная влажность вводимого в помещение атмосферного чистого воздуха при соответствующей температуре (см. Справочник: таблица
таблица 3.1.6.4);
количество водяных паров (г/ч), поступающих в воздух вследствие испарения с мокрых поверхностей. Величина зависит от вида животных, технологии содержания, а также санитарного состояния помещений. Этот показатель определяется с использованием процентных надбавок.
, (14)
где
– величина процентных надбавок к количеству влаги, выделяемой всем поголовьем (Wв), содержащимся в помещениях, рассчитываемая по формулам 10 или 11 (см. Справочник: таблица 3.1.6.6).
, (15)
где Кр – кратность обмена воздуха в помещении при рассчитанном объеме вентиляции за один час;
– имеется ввиду значение, полученное в последнем цикле расчета, выполненного по формуле 12;
V – объем помещения, м3.
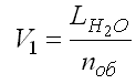
, (16)
где
V1 – объем вентиляции на одну голову, м3/ч/гол;
– имеется ввиду значение, полученное в последнем цикле расчета, выполненного по формуле 12;
– общее поголовье животных, содержащихся в помещении (гол), равное суммарному значению (n1 + n2 + … + nx), заданному в последнем цикле расчета Wв, выполненного по формулам 10 или 11.
, (17)
где
S1 – суммарная площадь сечения вытяжных труб, м2;
– имеется ввиду значение, полученное в последнем цикле расчета, выполненного по формуле 12;
– скорость движения воздуха, определяемая в соответствии с видом животного и периодом года, м/с [см. Справочник:
3.1.1.17 (КРС),
3.1.2.15 (Свиньи),
3.1.3.12 (Лошади),
3.1.4.11 (Птица),
3.1.5.6 (Овцы)];
t – число секунд в одном часе, 3600.
Расчет необходимого количества вытяжных труб и проточных каналов осуществляется по формулам 7,8,9.
1.6.5.2. Методика расчета вентиляции по содержанию в воздухе диоксида углерода